回首“姜育恒”经典专辑——跟往事干杯
回首“姜育恒”经典专辑——跟往事干杯
1988年由台湾飞碟唱片所推出的“姜育恒”经典专辑《跟往事干杯》!他在87年从“光美唱片”转到飞碟唱片,这张专辑是他在飞碟唱片的第二张专辑,对他来说这也无疑是他音乐生涯的一次重要转折点。

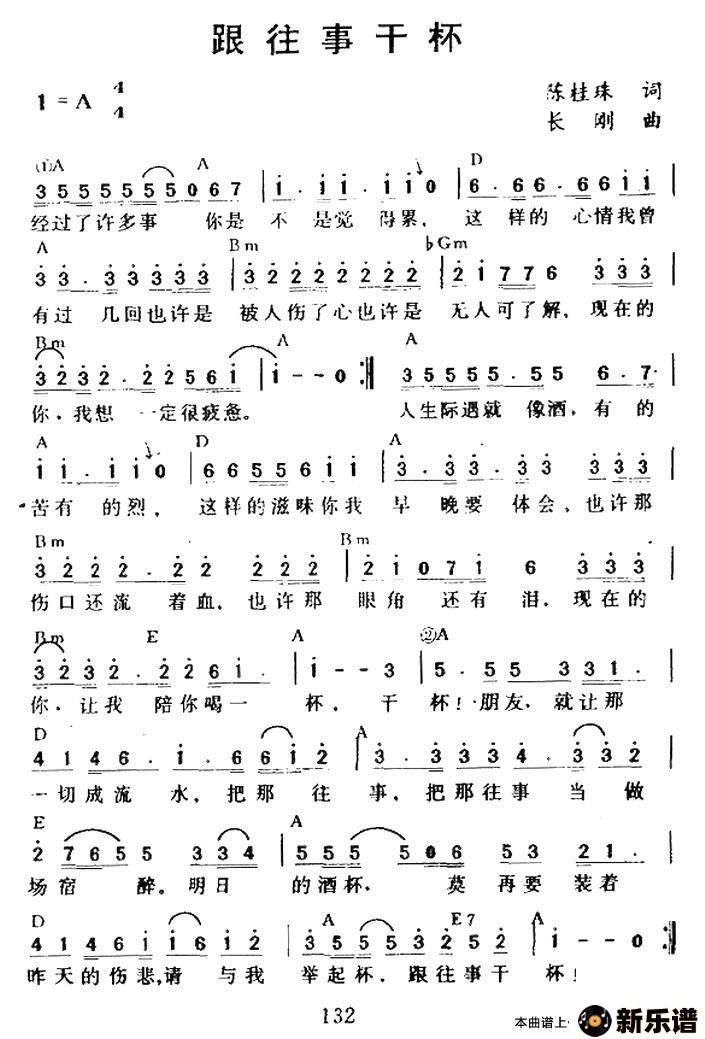
专辑共收录了十首歌曲,专辑的同名主打歌《跟往事干杯》,这首歌曾经风靡了大街小巷,但这是姜育恒翻唱的一首歌曲,原唱是日本音乐人“长渕yuān刚”的作品,由曾为童安格填写了《其实你不懂我的心》的台湾作词人“陈桂珠”重新填词;这首歌之所以能成为经典,少不了陈桂珠的精彩中文填词的功劳。

说实话,《跟往事干杯》这首歌呢,真的太适合姜育恒了,熟悉姜育恒的歌迷朋友应该都知道,他是一个非常爱喝酒的人,而且呢,他在录歌之前一直有一个习惯,就是他会喝一点点红酒来调整自己的情绪,然后找到最好的录音的状态;在这个专辑的歌词本当中还有这样的一段话,说他不是经常纵酒放歌的人,也不是个会对生活发出呐喊的人,他常常轻浅但深刻地唱些你心里的话,也总是在最深冷的夜里独自浅酌。

姜育恒(Johnny),1958年11月15日出生于韩国首尔,祖籍山东荣成,中国台湾男歌手。
1984年,发行首张个人专辑《孤独之旅》;1985年,发行专辑《但愿长醉》,入闱金嗓奖最佳男歌手奖;1989年,发行专辑《多年以后·再回首》 ,其中主打歌曲《再回首》走红并因在1991年的央视春晚上演唱而在中国大陆为人熟知 ;1992年11月,凭借专辑《一个人》获得第三届金曲奖最佳演唱专辑奖。2004年11月,受邀赴美国参加洛杉矶AM1300华语电台十周年台庆晚会,并获洛杉矶AM1300电台颁发”亚洲最受欢迎艺人奖”、 洛杉矶县政委员会颁发”亚洲杰出艺人奖”、洛杉矶阿凯迪亚市颁发”荣誉市民证书” ;2013年,举办世界巡回演唱会《我和我的朋友》。
姜育恒祖籍山东荣成,父母早年间去了韩国,在一个距离首尔100多公里的小镇生活。等到姜育恒上小学时已经家道中落,中学时代姜育恒为了上有中文教育的中学,离开父母外出求学,曾尝试过各种打工方式挣钱贴补家用,送过外卖、做过餐厅服务生、卖过鞋油,还在下雨的时候做过卖伞生意。少年时代的磨炼为他后来回台湾发展打下了基础,“姜育恒能吃苦”在圈内人人皆知。高中时姜育恒爱上音乐,还与同学组成乐团,一直持续到高三母亲病逝后。24岁时,父母早逝的姜育恒到台湾投奔姐姐一家,想找一份和音乐有关的工作,因为没有渠道,一年多都没有找到工作,甚至被迫去日本做服务生打工。后来,他在一家台湾夜总会谋得一份弹贝斯的差事,有歌手唱歌他就做乐手,没有歌星就客串一下主唱。1984年,姜育恒凭借忧郁的气质和独特的唱腔赢得了光美唱片的一纸合约 。
标签:
