求2的平方根的三种方法
求2的平方根的三种方法

什么?还需要求的吗,不就是等于1.414(要死要死)么!
不过,我要问的是,后面呢?
呃,按个计算器不就搞定了嘛……
不过,我要问的是,计算器后面是什么呢?计算器是怎么算出

我们来介绍一下几种计算方法,数学往往是这样,看起来挺无聊的,但用于解闷倒是非常合适。
阅读本文,请准备一支笔和一个小计算器。(对自己的笔算功底非常有把握的可以不要计算器)
第一种解法,竖式计算。
先得介绍下竖式怎么算开方数。
我们可以知道,

一个数一个数来凑哈。

显然,个位数应该为1,继续

每一次补位,都是补00,两个。边上的20是第一步算出的结果1×20,其中4是不等式

的最大整数解,这是第二个准确数。

于是得到第三个准确数1。接下来同样操作即可。
为了美观,我就不对齐数位,把运算竖式写出来您可以对照下。

聪明睿智的你一定发现了,最麻烦的一元二次不等式,其实不用管那个二次项

,直接估算一下就可以了。

竖式计算开方的优点是准确,通过这个方法得到的每一位都是准确值,缺点嘛……实在太慢了,即使丢掉

可以快速提高速度,还是很慢。
第二种解法。二分法。

来呀,拿出计算器动手试试
a
b
x
f(x)=x^2-2
b-a
1
2
1.5
0.25
1
1
1.5
1.25
-0.4375
0.5
1.25
1.5
1.375
-0.109375
0.25
1.375
1.5
1.4375
0.06640625
0.125
1.375
1.4375
1.40625
-0.022460938
0.0625
1.40625
1.4375
1.421875
0.021728516
0.03125
1.40625
1.421875
1.4140625
-0.000427246
0.015625
1.4140625
1.421875
1.41796875
0.010635376
0.0078125
1.4140625
1.41796875
1.416015625
0.00510025
0.00390625
1.4140625
1.416015625
1.415039063
0.002335548
0.001953125
1.4140625
1.415039063
1.414550781
0.000953913
0.000976563
我们发现,这个虽然很高级,但是精确度还不如竖式计算,精度设置为0.001需要10步,其准确值只有3位小数。
二分法的优点是容易理解,数学上不难,在预设误差条件下还是符合要求的。缺点嘛……不够精确,速度也不快。
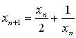
第三种解法。牛顿迭代法
这个解法是这样的,先猜一个数x0,随便猜,然后代入公式

逐个计算。
拿出计算器,先动手试试比较有感觉哈。
n
x
0
4
1
2.25
2
1.569444444
3
1.421890364
4
1.414234286
5
1.414213563
6
1.414213562
只要算6次就好了,因为再算下去,结果也是一样,已经不会变了,计算器的精度用尽了。
牛顿迭代的方法优点是快,真快。我猜4已经很变态了,求2的平方根居然猜4,但速度还是超级快。缺点嘛……看不懂,真的看不懂。(呵呵)
那个迭代公式是何方神圣?我把数学过程一写您就明白了。对证明没兴趣的读者可以跳过。

当当当,公式闪亮出场!(不过,我估计您还是不懂)
但凡不懂,就先画个图,说不定就懂了。
求2的平方根,其实就是求


终于明白了,原来,每一次求切线与x轴交点,实际上是用切线近似地替代原来的函数,然后每一次都会与原函数的零点更接近。
其实,计算

还有一个解法,也很快,叫连分数,不过这个办法只能用于一个数,而不具有推广性,我们就不介绍了。
写后记:突然有种“细思极恐”的感觉,这个问题太象高考题了。稍微变一变,比如把函数换一换就是一道现成的高考压轴题呀!
标签:
